作者信息:学院:能源与动力学院作者:黄河峡、刘再接论文简介:研究表明,正弦粗糙度模式在尾部产生两种反向旋转的流向涡对。较强的涡由两个涡对穿过最后一行正弦丘的侧面部分组成,较弱的涡由...
作者信息:学院:航空学院作者:陈吉昌论文简介:本研究针对了雷诺数Re=800–2000和攻角AoA=18°–26°范围内对称翼型的流动过渡和涡流演化。使用经过充分验证的基于水平集的浸没边界法进行了一系...
作者信息:学院:能源与动力学院作者:黄河峡、刘再接论文简介:建立了适用于宽速度范围气动流动的局部关联转捩模型,提出了动量厚度雷诺数的新局部化方法,考虑了自由射流湍流强度、压力梯度、...
作者信息:学院:物理学院作者:罗强论文简介:这篇论文研究了Kitaev相互作用与非对角交换相互作用的相互作用,揭示了它们在量子系统中产生的奇特物相和量子相图。通过量子多计算,发现这种相互...
作者信息:学院:物理学院作者:罗强、李晋斌论文简介:这篇论文研究了在蜂窝晶格上的两种不同自旋翻转相中的连续拓扑相变。通过自旋波理论分析和数值模拟,发现系统在磁场作用下会经历两次拓扑...
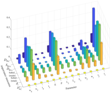
作者信息:学院:民航学院作者:李维、徐朋论文简介:基于对称统计散度(包括对称Kullback-Leibler散度(SKL)和Jensen-Shannon散度(JSD))提出了新的重要性测度方法。旨在评估单个输入的全局...
作者信息:学院:材料科学与技术学院作者:张晗论文简介:本研究对u-LPBF法制备高强度Al-Mg-Sc-Zr合金的加工窗口性能增强进行了系统的研究。分析了u-LPBFl参数对打印件缺陷控制和致密化活性的影...
作者信息:学院:航天学院作者:董洋洋、闫方智论文简介:确定最优角度,通过堆叠形成三维结构。仿真与实验表明,多层结构力学性能和能量吸收能力随层数增加而提升,且相比普通蜂窝结构,其在相...
作者信息:学院:航空学院作者:何薇薇、唐梓铭、易敏学院:物理学院作者:龚琦花论文简介:本研究发现VSi2NAs3等多种具有显著Dzyaloshinskii-Moriya相互作用的Janus单层材料可稳定形成具有良好...
作者信息:学院:物理学院作者:龚琦花学院:航空学院作者:唐梓铭、易敏论文简介:本工作在单层CrN施加恒定的应变梯度ηxzx,通过调控其Dzyaloshinskii-Moriya相互作用(DMI)以及相应奈尔型斯格...
作者信息:学院:航空学院作者:张振辉、孙燊、易敏论文简介:本工作建立了一种热力耦合疲劳断裂相场模型来研究脆性材料在循环热力载荷下的疲劳行为,通过引入随累积应变能衰减的疲劳退化函数和...
作者信息:学院:计算机科学与技术学院作名:赵星宇单位:东南大学作名:安悦瑄单位:东南大学作名:祁磊单位:东南大学作名:耿新论文简介:本文提出了一种用于多标记文本分类的可扩展标记分布...
本文转载自国际前沿科学研究院网站(原文链接:https://ifs.nuaa.edu.cn/2025/0611/c16168a377580/page.htm)【导读】南京航空航天大学国际前沿科学研究院郭万林院士、张助华教授、乔瑞喜副研究...
本文转载自公众号:南航国际前沿科学研究院 近日,南京航空航天大学国际前沿科学研究院团队在能源与环境科学领域顶级期刊《Energy Environmental Science》(EES,影响因子32.4)上发表了题为...