当前位置:首页  成果展示  用户成果

Interplay of Kitaev Interaction and Off-Diagonal Exchanges: Exotic Phases and Quantum Phase Diagrams

时间:2025-06-24作者:编辑:审核:阅读:213

作者信息:

学院物理学院

作者:罗强


论文简介:

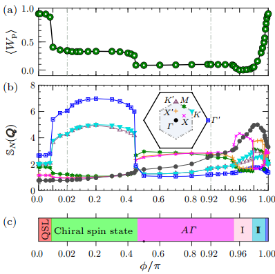
这篇论文研究了Kitaev相互作用与非对角交换相互作用的相互作用,揭示了它们在量子系统中产生的奇特物相和量子相图。通过量子多计算,发现这种相互作用的结合导致了多种新奇的量子态和复杂的相变行为,为理解量子磁性材料提供了新的视角和理论基础。

论文链接:

doi:10.1088/0256-307X/42/2/027501

期刊名:《Chinese Physics Letters



分享: